• Предмет: Алгебра
  • Автор: juliaivanovo
  • Вопрос задан 10 лет назад

Решите уравнение:
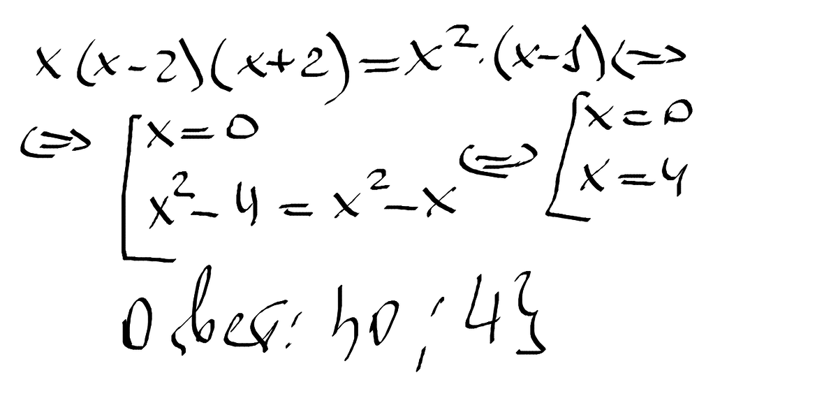
х(x-2)(х+2)=х^2(х-1)

Ответы

Ответ дал: Zluka98
0
Решение прикрепила.
Ответ: {0; 4}
Приложения:
Ответ дал: Аноним
0
x(x-2)(x+2)=x^2(x-1) \ x(x-2)(x+2)-x^2(x-1)=0 \ x(x^2-4-x^2+x)=0 \ x(x-4)=0 \ x_1=0 \ x_2=4
Приложения:
Вас заинтересует