Уравнение с параметром.
(ax^2-2x)^2+(a^2-a+2)(ax^2-2x)-a^2(a-2)=0
при каких значениях a уравнение имеет два решения? Более четкий пример во вложении. Желательно с объяснениями.
Приложения:
Ответы
Ответ дал:
0
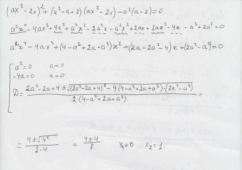
решение в приложении:
(уравнение 4 степени,
чтобы было 2 корня, надо чтобы коэффициэнты при x⁴ и x³ были равны нулю, а дискриминант был больше 0 )
(уравнение 4 степени,
чтобы было 2 корня, надо чтобы коэффициэнты при x⁴ и x³ были равны нулю, а дискриминант был больше 0 )
Приложения:
Ответ дал:
0
а можно после 3-ей строчки последующие преобразования поподробнее или пояснение к ней
Ответ дал:
0
чтобы было 2 корня, надо чтобы коэффициэнты при x⁴ и x³ были равны нулю - т.е. приравниваем их к нулю...
Ответ дал:
0
это происходит при a=0, и проверяем, при a=0, какой дискриминант, он должен быть больше нуля, иначе будет меньше корней
Ответ дал:
0
ax²-2x=y
y²+(a²+2-a)y+a²(2-a)=0
y1+y2=a²+(2-a) U y1*y²=a²*(2-a)
y1=a²⇒ax²-2x=a²
ax²-2x-a²=0
D=4+4a³>0
4a³>-4
a³>-1
a>-1
a∈(-1;∞)
y2=2-a
ax²-2x=2-a
ax²-2x+a-2=0
D=4-4a(a-2)=-4a²+8a+4>0
a²-2a-1<0
D=4+4=8
a1=(2-2√2)/2=1-√2 U a2=1+√2
a∈(1-√2;1+√2)
y²+(a²+2-a)y+a²(2-a)=0
y1+y2=a²+(2-a) U y1*y²=a²*(2-a)
y1=a²⇒ax²-2x=a²
ax²-2x-a²=0
D=4+4a³>0
4a³>-4
a³>-1
a>-1
a∈(-1;∞)
y2=2-a
ax²-2x=2-a
ax²-2x+a-2=0
D=4-4a(a-2)=-4a²+8a+4>0
a²-2a-1<0
D=4+4=8
a1=(2-2√2)/2=1-√2 U a2=1+√2
a∈(1-√2;1+√2)
Приложения:
Вас заинтересует
3 года назад
8 лет назад
10 лет назад
10 лет назад
11 лет назад