• Предмет: Алгебра
  • Автор: FrendlyEW
  • Вопрос задан 10 лет назад

ПОМОГИТЕ
БЫСТРЕЙ
СРОЧНО

Приложения:

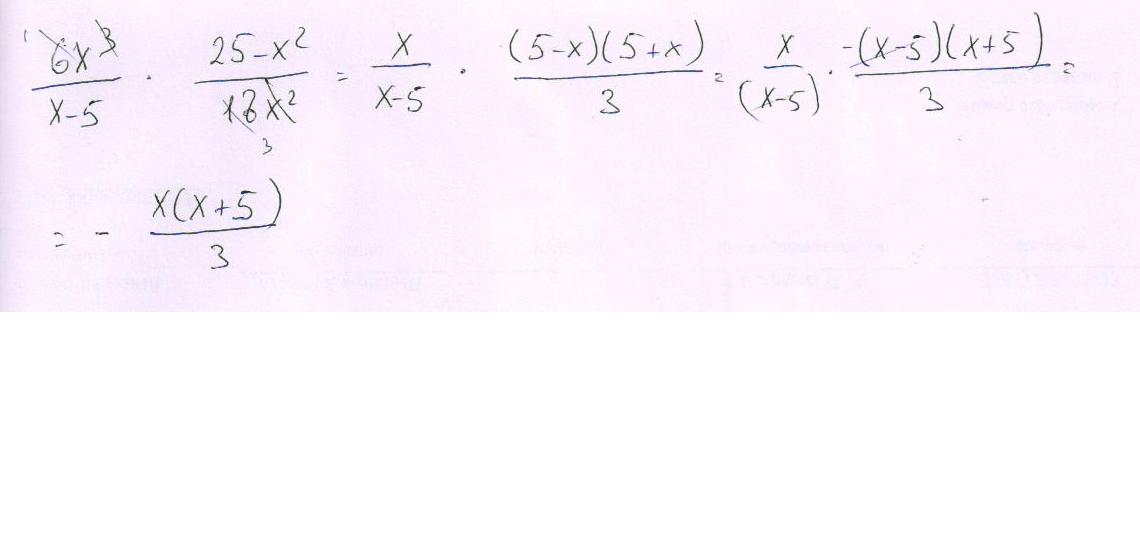
Ответы

Ответ дал: ewgenijbark
0
см. ответ в файле
\\\\\\\\\\\\
Приложения:
Вас заинтересует