• Предмет: Алгебра
  • Автор: sweeeeek
  • Вопрос задан 10 лет назад

Помогите пожалуйста решить СРОЧНО!!

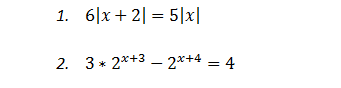
Приложения:

Ответы

Ответ дал: Аноним
0
6|x+2|=5|x| \ (6(x+2)+5x)(6(x+2)-5x)=0 \   left[begin{array}{ccc}6x+12+5x=0\6x+12-5x=0end{array}rightto   left[begin{array}{ccc}x_1=- frac{12}{11}\x_2=-12 end{array}right

3cdot 2^{x+3}-2^{x+4}=4 \ 24cdot 2^x-16cdot 2^x=4 \ 8cdot 2^x=4 \ 2^x= frac{1}{2}  \ x=-1
Вас заинтересует