• Предмет: Алгебра
  • Автор: Аноним
  • Вопрос задан 11 лет назад

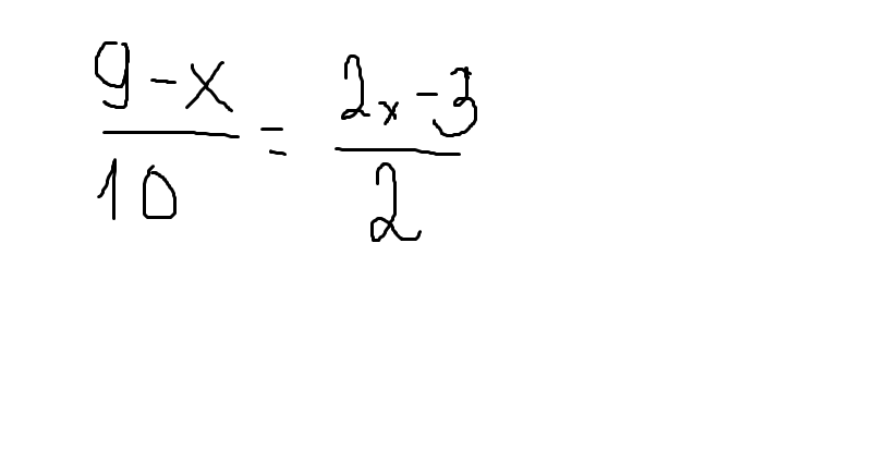
решить уравнение

 

помогите мне пожалуйста...(((

 

Приложения:

Ответы

Ответ дал: Orakul555
0

18-2x=20x-30

22x=48

x=48/22=24/11

x=2целые 2/11

 

 

 

 

 

 

Ответ дал: Аноним
0

см.рис

================================

Приложения:
Вас заинтересует