• Предмет: Алгебра
  • Автор: frag2108
  • Вопрос задан 10 лет назад

 frac{x+y}{y} : frac{x ^{2}+2xy+y^{2} }{xy ^{2} } Помощь нужна!

Ответы

Ответ дал: m11m
0
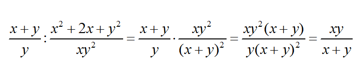
х+у  :  х²+2ху+у² = х+у  *    ху²   = ху  
  у          ху²             у       (х+у)²   х+у
Ответ дал: SteelR
0
Решение во вложенном файле
Приложения:
Вас заинтересует