• Предмет: Геометрия
  • Автор: ЕвгешKA
  • Вопрос задан 11 лет назад

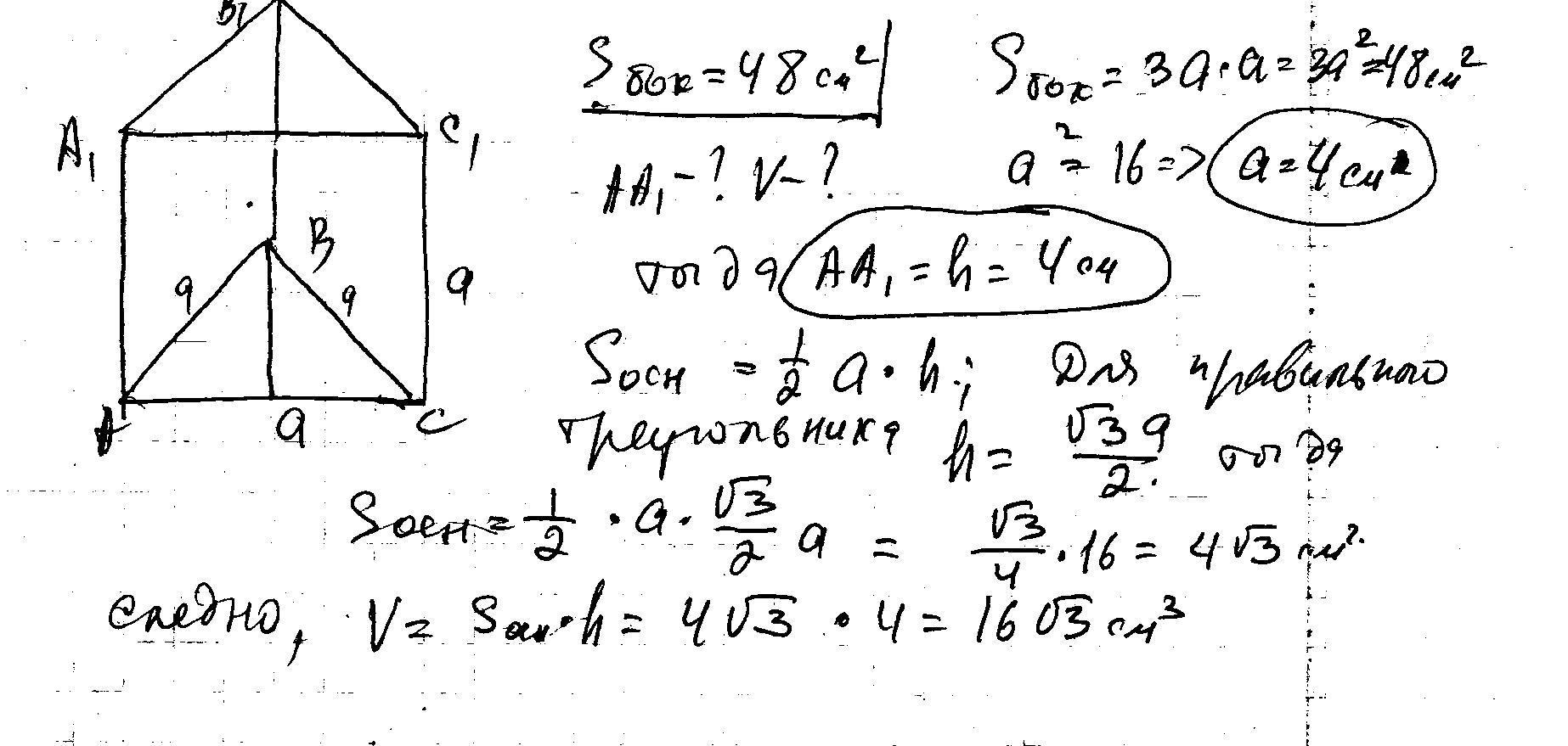
В прямой треугольной призме, все рёбра равны. Площадь боковой поверхности равняется 48 см²

Найти высоту и объем

 

Пожалуйста подробное решение:*

Ответы

Ответ дал: ужнеужели
0
решение в скане.............
Приложения:
Вас заинтересует