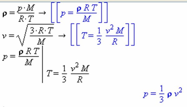
определите давление водорода если средняя квадратичная скорость его молекул 800м/с а его плотность 2,4 кг/м^3
Ответы
Ответ дал:
0
ответ на задачку смотри во вложениях
Приложения:

Вас заинтересует
2 года назад
2 года назад
8 лет назад
8 лет назад
10 лет назад
10 лет назад