• Предмет: Алгебра
  • Автор: anelanel2015anel
  • Вопрос задан 10 лет назад

логарифм.помогите пожалуйста)

Приложения:

Ответы

Ответ дал: Аноним
0
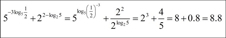
htitybt cvjnhb во вложении.......................................
Приложения:
Вас заинтересует