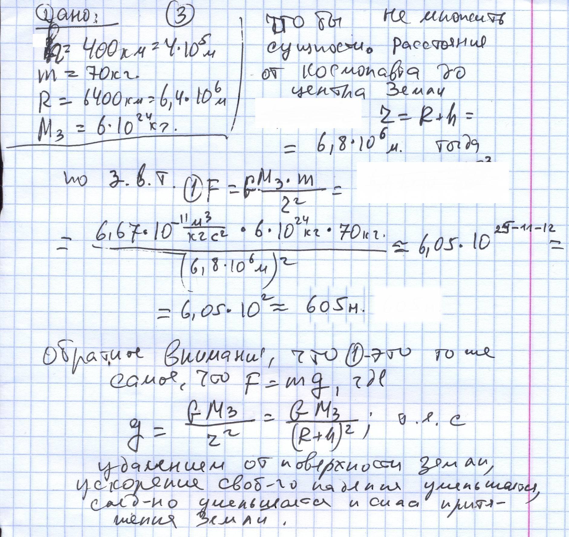
С какой силой притягивается к Земле лётчик космонавт находящийся на высоте 400 км от её поверхности? Масса космонавта 70 кг.
Ответы
Ответ дал:
0
С какой силой притягивается к Земле лётчик космонавт находящийся на высоте 400 км от её поверхности? Масса космонавта 70 кг.
Приложения:

Вас заинтересует
2 года назад
2 года назад
8 лет назад
8 лет назад
10 лет назад
10 лет назад
10 лет назад