• Предмет: Алгебра
  • Автор: limonchik123
  • Вопрос задан 3 года назад

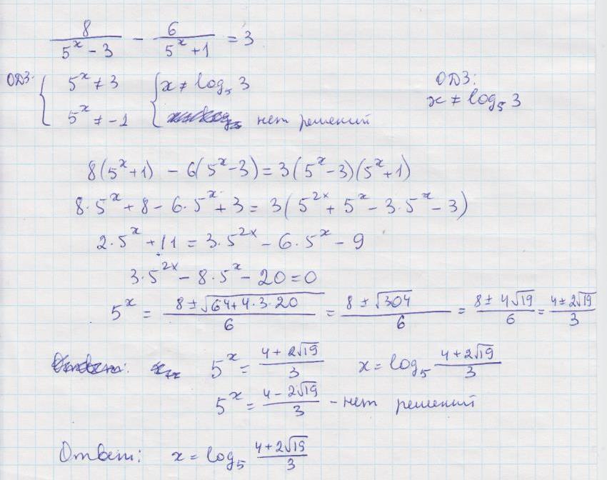
решите уравнения
1)8/5^x-3-6/5^x+1=3


мехришка: какой класс?я 4 . очень сложно

Ответы

Ответ дал: belcatya
0
решение в приложении:

Приложения:
Вас заинтересует