• Предмет: Математика
  • Автор: chonka10
  • Вопрос задан 3 года назад

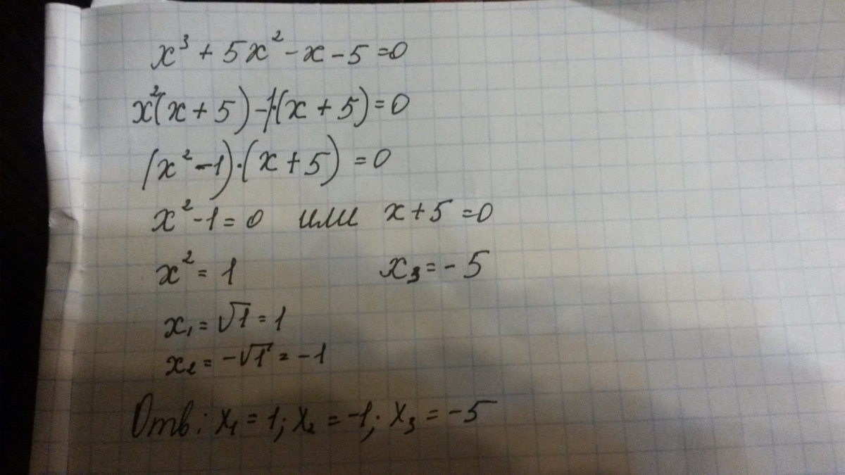
Решите пожалуйста уравнение. Это вторая часть ОГЭ

Приложения:

Ответы

Ответ дал: mamusichka
2
обожаю решать такие уравнения
Приложения:
Вас заинтересует