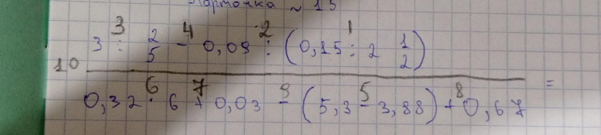
три целых:на две пятые минус девять сотыхделённые на в скобках пятнадцать сотых делённые на две целые одну вторую. традцатьдве сотыхумножить на шесть плюс три сотых минус в скобках пять целых три десятые минус три целые восемдесят восемь сотых
Приложения:

tatsach:
8 и 9 надо поменять местами
Ответы
Ответ дал:
0
Ответ:
Пошаговое объяснение:
0,15:2 1/2=3/20*2/5=3/50
0,09:3/50=9/100*50/3=3/2=1 1/2
3:2/5=3*5/2=15/2=7 1/2
7 1/2-1 1/2=6
5,3-3,88=1,42
0,32*6=1,92
1,92+0,03=1,95
1,95-1,42=1,53
1,53+0,67=2,2
2,2:6=11/5*1/6=11/30
Вас заинтересует
2 года назад
2 года назад
2 года назад
8 лет назад
8 лет назад
9 лет назад