решите квадратное уравнение с помощью дискриминанта,плииииззз
Приложения:
stelsovodets196:
мммбеееть
ааааххххааа
Ответы
Ответ дал:
1
1/9х^2-4/3х+3=0
а=1/9, b= 4/3, с =3
D= b^2-4ac
D= (4/3)^2-4*1/9*3= 12/9-12/9=0 , D=0 , следовательно уравнение имеет один корень.
x=-b/2a
X= -(-4/3) : 2*1/9 = 4/3 : 2/9= 36/6=6
Ответ:6
а=1/9, b= 4/3, с =3
D= b^2-4ac
D= (4/3)^2-4*1/9*3= 12/9-12/9=0 , D=0 , следовательно уравнение имеет один корень.
x=-b/2a
X= -(-4/3) : 2*1/9 = 4/3 : 2/9= 36/6=6
Ответ:6
4^2=16
Ответ дал:
2
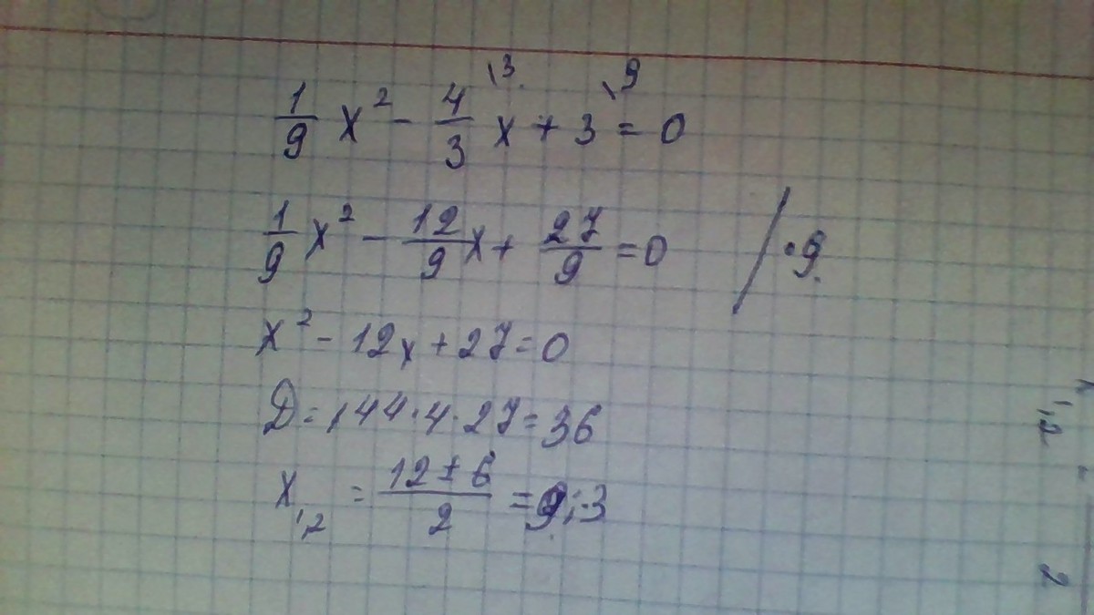
общий знаменатель, и избавление потом от знаменателя
Приложения:
Вас заинтересует
2 года назад
2 года назад
2 года назад
7 лет назад
7 лет назад
9 лет назад