Ответы
Ответ дал:
1
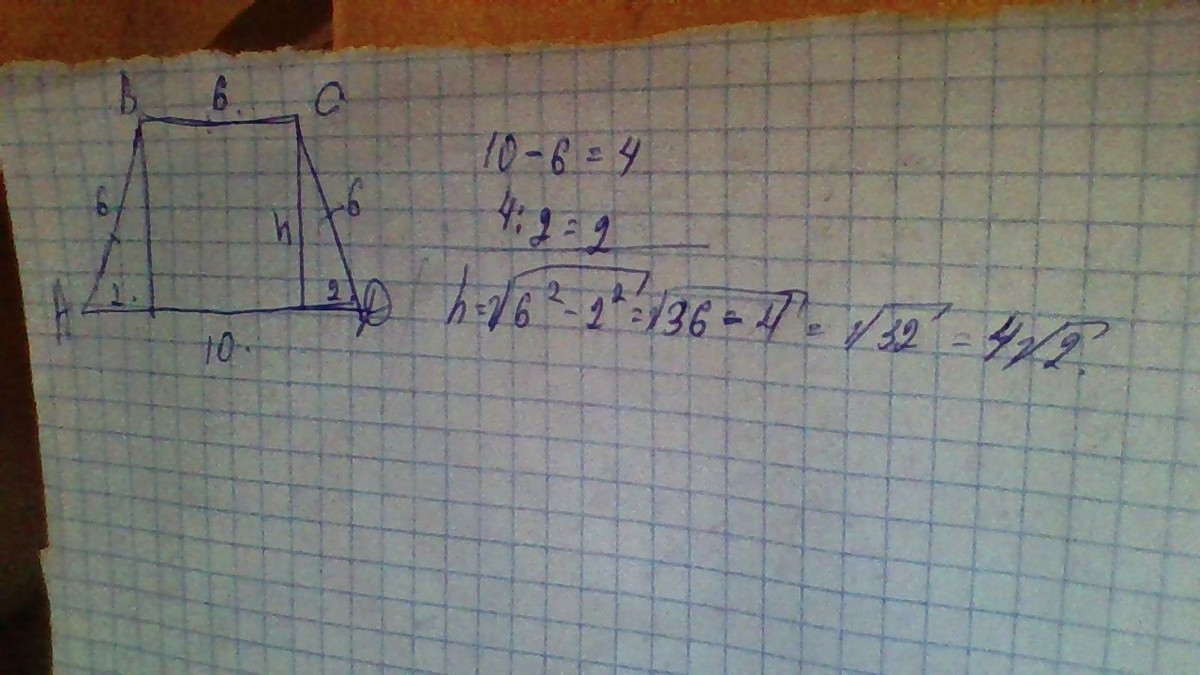
с помощью теоремы пифагора
Приложения:

ШриВт:
Ты(Вы) моё спасение :D
Вас заинтересует
2 года назад
2 года назад
2 года назад
2 года назад
7 лет назад
7 лет назад