помогите пожалуйста
Приложения:

Evreika77:
что именно здесь делать ? 2 а и б?
Ответы
Ответ дал:
0
а) надо сверху соединить 10000 и 100000 - дугой сверху и заштриховать - это и будет решение.
5 цифр у этого числа
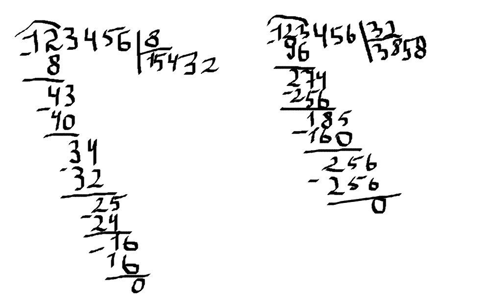
б) 123456/8 - 5 цифр в ответе, тк начинаем делить с 12, на луче между 10000 и 100000
123456/32- 4 цифры в ответе , т к начинаем делить с 123, на луче между 1000 и 10000
Ответ дал:
0
Это задание б № 1 №2 вот смотри
Приложения:

Вас заинтересует
2 года назад
2 года назад
2 года назад
2 года назад
7 лет назад
7 лет назад
9 лет назад
9 лет назад