однородный шар диаметром 3 см имеет массу 162 грамма. Чему равна масса шара,изготовленного из того же материал,с диаметром 2 см?ответ дать в граммах
Ответы
Ответ дал:
7
Формула для нахождения массы
m=v*p
где V это его объем, а Р это плотность материала и она постоянная т.у p2=p1
Р мы выразим из первого случая и найдем.
m1=v1*p1
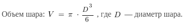
p1=m1/v1 p1=14.13 v1 нашли по формуле (см.фото.)
m2=v2*p2
m2=59 грамм.
m=v*p
где V это его объем, а Р это плотность материала и она постоянная т.у p2=p1
Р мы выразим из первого случая и найдем.
m1=v1*p1
p1=m1/v1 p1=14.13 v1 нашли по формуле (см.фото.)
m2=v2*p2
m2=59 грамм.
Приложения:
Вас заинтересует
2 года назад
2 года назад
2 года назад
2 года назад
7 лет назад
7 лет назад