Решите, пожалуйста. Это размножение многочленов на множители с помощью формул сокращенного умножения.
Приложения:
Ответы
Ответ дал:
1
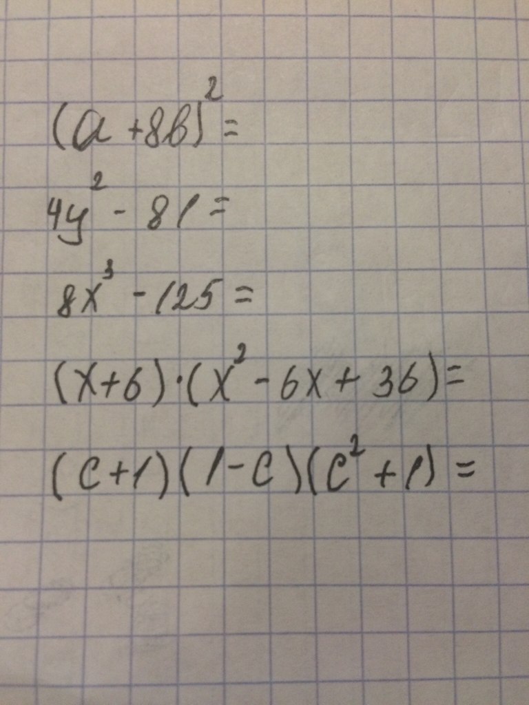
(а+8б)^2=а^2+16аб+64б^2
4у^2-81=(2у-9)(2у+9)
8у^3-125=(2у-5)(4у^2+10у+25)
(х+6)(х^2-6х+36)=х^3+216
(с+1)(1-с)(с^2+1)=(1-с^2)(с^2+1)=1-с^4
4у^2-81=(2у-9)(2у+9)
8у^3-125=(2у-5)(4у^2+10у+25)
(х+6)(х^2-6х+36)=х^3+216
(с+1)(1-с)(с^2+1)=(1-с^2)(с^2+1)=1-с^4
Вас заинтересует
2 года назад
2 года назад
2 года назад
7 лет назад
7 лет назад
9 лет назад