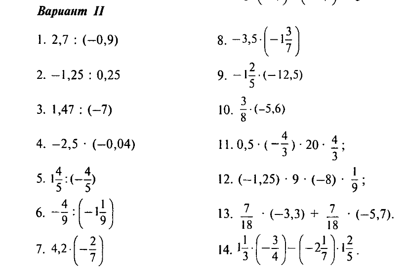
УМОЛЯЮ ПОМОГИТЕ ЧЕРЕЗ 20 МИНУТ В ШКОЛУ ИДТИ!!!(((ЗАРАНЕЕ СПАСИБО ЗА ВЕРНЫЙ ОТВЕТ.(МОЖЕТЕ ПИСАТЬ ПРОСТО ОТВЕТЫ В СТОЛБИКИ) УМОЛЯЮ!!РАДИ БОГА ПОМОГИТЕ!!((
Приложения:

Ответы
Ответ дал:
1
1) = -3
2) = -5
3) = -0,21
4) = 0,1
5) = -2 целых одна четвертая
6) = две пятых
7) = минус шесть пятых
Остальное нужно решать письменно. Поэтому помочь не могу. Удачи в школе!
2) = -5
3) = -0,21
4) = 0,1
5) = -2 целых одна четвертая
6) = две пятых
7) = минус шесть пятых
Остальное нужно решать письменно. Поэтому помочь не могу. Удачи в школе!
Ответ дал:
0
1)-3
2)-5
3)-0,27
4)0,1
5)-2,25
2)-5
3)-0,27
4)0,1
5)-2,25
Приложения:


Вас заинтересует
2 года назад
2 года назад
2 года назад
7 лет назад
7 лет назад
9 лет назад
9 лет назад