• Предмет: Алгебра
  • Автор: hartmannnastya
  • Вопрос задан 3 года назад

ещё одно уравнение и отстану
совсем запуталась
срочно!

Приложения:

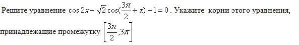
Ответы

Ответ дал: NNNLLL54
1
cos2x+\sqrt2sinx-1=0\\\\Formyla:\; cos2x=1-2sin^2x\\\\1-2sin^2x+\sqrt2sinx-1=0\\\\\sqrt2sinx(1-\sqrt2sinx)=0\\\\sinx=0,\; x=\pi n,\; n\in Z\\\\sinx=\frac{1}{\sqrt2},\; x=(-1)^{k}\frac{\pi}{4}+\pi k,\; k\in Z

x=2\pi ,\frac{5\pi}{2},3\pi \in [\frac{3\pi}{2},3\pi ]
Вас заинтересует