• Предмет: Алгебра
  • Автор: Kris00tinka
  • Вопрос задан 3 года назад

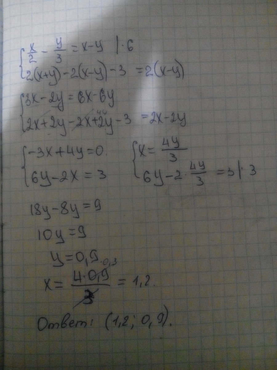
Решите систему уравнений
{х/2-y/3=x-y
2(x+y)-2(x-y)-3=2x-2y

Ответы

Ответ дал: Аноним
0
решение во вложении………
Приложения:
Вас заинтересует