Ответы
Ответ дал:
1
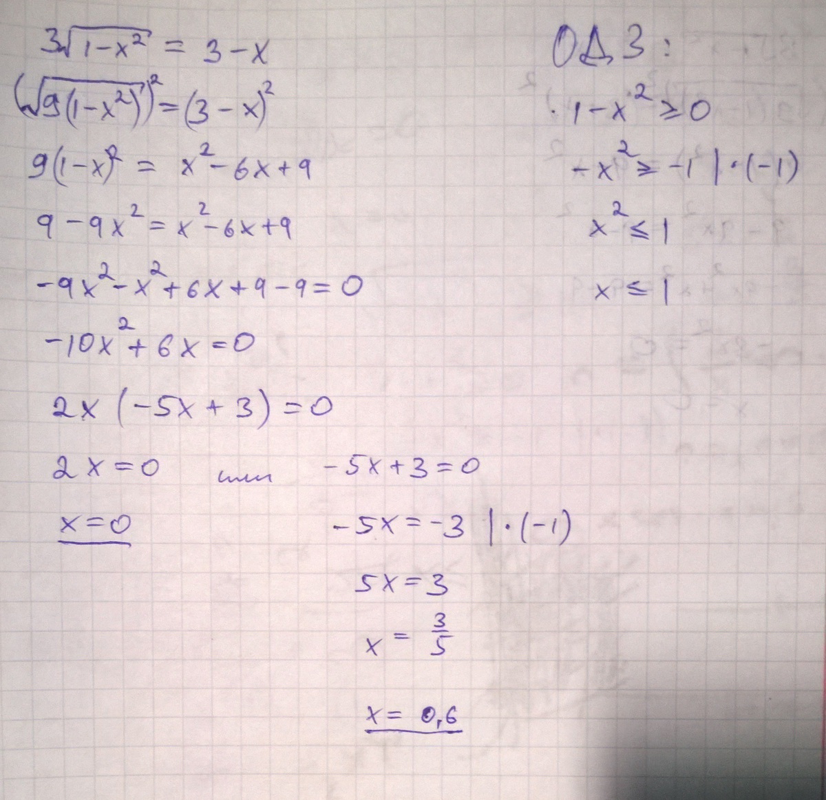
Решение прикрепил)
Ответ: x₁=0; x₂=0,6
Ответ: x₁=0; x₂=0,6
Приложения:

bodiuaru94:
Чувак, спасибо огромное выручил)))))
Только в 3 строчки, чуть опечатался)
там не 9(1-x)^2, а 9(1-x^2), т.е. квадрат у икса, а не за скобкой)))
Вас заинтересует
2 года назад
2 года назад
2 года назад
7 лет назад
9 лет назад