• Предмет: Математика
  • Автор: Аноним
  • Вопрос задан 2 года назад

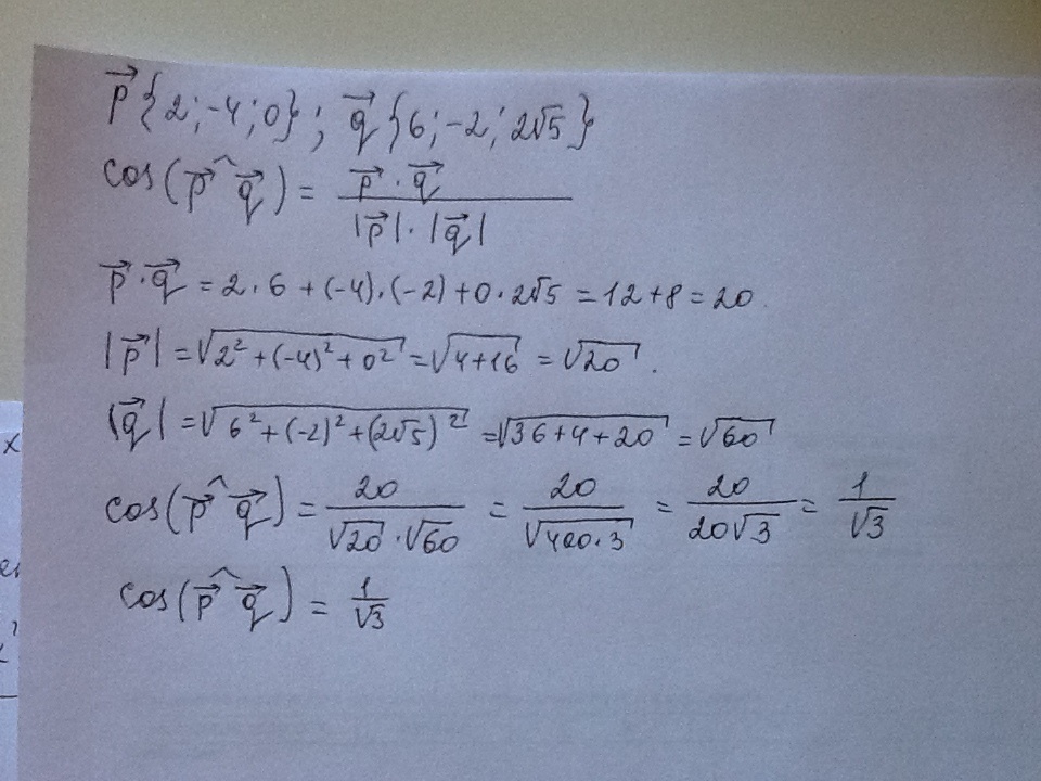
Помогите пажалуйсто,Задание:Даны векторы вектор Р(2;-4;0);вектор q(6;-2;2корень из 5).Найти косинус угла между ними.

Ответы

Ответ дал: kirichekov
2
---------------------------------------------------
Приложения:

Аноним: должно получиться Корень из 3 деленое на 3
kirichekov: Избавимся от иррациональности в знаменателе: и числитель и знаменатель до множим на корень квадратный из 3, получим: корень из 3 / на 3. (((((((. Даааа, совсем печалька
Аноним: Спасибо Братишка;-)
Вас заинтересует