• Предмет: Математика
  • Автор: anastasiastulisajko
  • Вопрос задан 2 года назад

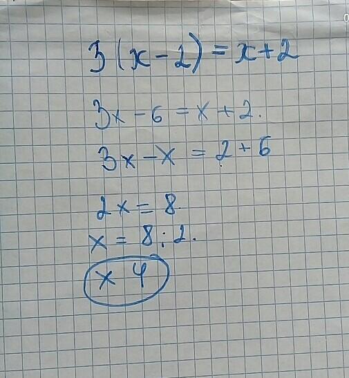
Помогите, пожалуйста 3(х-2)=х+2

Ответы

Ответ дал: alex080297
0

Ответ:

x=4

Пошаговое объяснение:

3(x-2)=x+2\\3x-6=x+2\\3x-x=6+2\\2x=8\\x=4

Ответ дал: sppdddocofo
0
ответ=4
на бумаге
всегда пожалуйста)
Приложения:
Вас заинтересует