• Предмет: Алгебра
  • Автор: Dashaandree2806
  • Вопрос задан 3 года назад

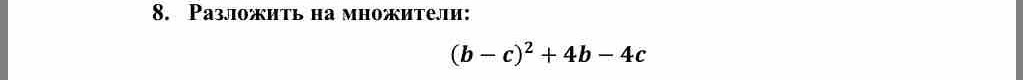
Помогите пожалуйста решить

Приложения:

Ответы

Ответ дал: KirillLity
1
=
(b-c)²+4(b-c)=(b-c)(b-c+4)
Ответ дал: karmelita1953
1
=(b-c)²+4(b-c)=(b-c)(b-c+4)
Вас заинтересует