1534@
пожалуйста
помогите
Приложения:
Nastya171167:
по действия или просто ответ
остальные не надо
понятно
Ответы
Ответ дал:
1
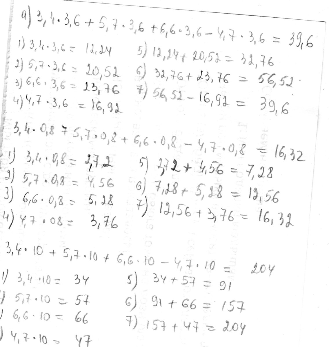
a)11x
x=3,6; 11*3.6=39,6
x=0,8; 11*0,8=8,8
x=10; 11*10=110
b) 3,8m-2,8m-0,7m=0,3v
m=2,4; 0,3*2,4=0,72
m=8,57; 0,3*8,57=2,571
c)16,75y-4.75y-10,8=12y-10,8
y=0,9; 12*0,9-10,8=0
y=3,01; 12*3,01-10,8=25,32
x=3,6; 11*3.6=39,6
x=0,8; 11*0,8=8,8
x=10; 11*10=110
b) 3,8m-2,8m-0,7m=0,3v
m=2,4; 0,3*2,4=0,72
m=8,57; 0,3*8,57=2,571
c)16,75y-4.75y-10,8=12y-10,8
y=0,9; 12*0,9-10,8=0
y=3,01; 12*3,01-10,8=25,32
Ответ дал:
1
решила под буквой а остальные надо
Приложения:
спасибо
Вас заинтересует
2 года назад
2 года назад
7 лет назад
9 лет назад