помогите пожайлуста
1.найдите производную
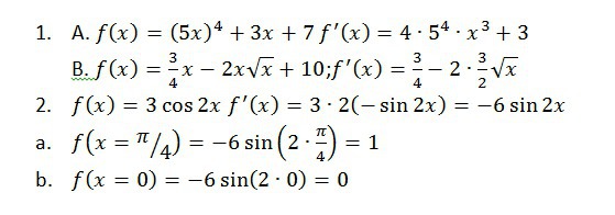
А) f(x)=5x (в 4 степени)+3x+7
Б )f(x)=3/4х-2х(х в корне)+10
2.найдите значение производной функции f(x)=3cos2x в точках
а) х=П/4
б) х=0
3.найдите значение производной функцией f(x)=1+4x/1+2x
в точках а) х=0
б) х=1
4. имеет ли производную функцию f(x)=2x{x} в точке х=0
Ответы
Ответ дал:
1
если я неправильно поняла условие и числа перед х не в степени, указанной вами, то, как можно догадаться из решения, они останутся без изменений. т.е. константа (число) перед х не изменяется
Приложения:

Вас заинтересует
2 года назад
2 года назад
2 года назад
7 лет назад
7 лет назад