Показательные уровнения и неравенства!
Помогите решить завтра нужно здать, зачёт очень нужна четвёрка)
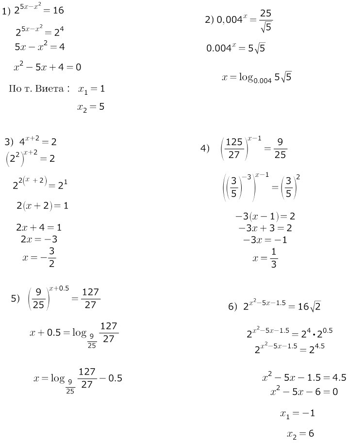
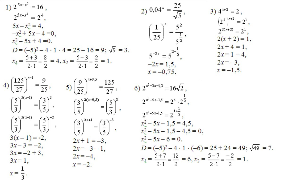
2^5x-x^2=16
(0,004)^х=25/корень из 5
4^x+2=2
(125/27)^x-1=9/25
(9/25)^x+0,5=127/27
2^x^2-5х-1,5=16кореней из 2
Ответы
Ответ дал:
3
Решение смотрите во вложении...
Приложения:

Ответ дал:
2
См. решение уравнений на рисунке
Приложения:

Вас заинтересует
2 года назад
2 года назад
2 года назад
7 лет назад
7 лет назад
9 лет назад