Помогите решить:
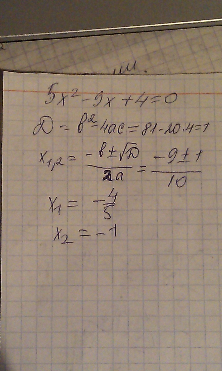
5х2-9х+4=0
podyanova2015:
5х в квадрате?
Ответы
Ответ дал:
3
через дискриминант решать такое надо. ответ -4/5 и -1
Приложения:

Вас заинтересует
2 года назад
2 года назад
2 года назад
7 лет назад