ПОМОГИТЕ С АЛГЕБРОЙ = РАСПИШИТЕ ПОДРОБНО
_______________________________________________________________
Приложения:

Ответы
Ответ дал:
1
решение в файле......
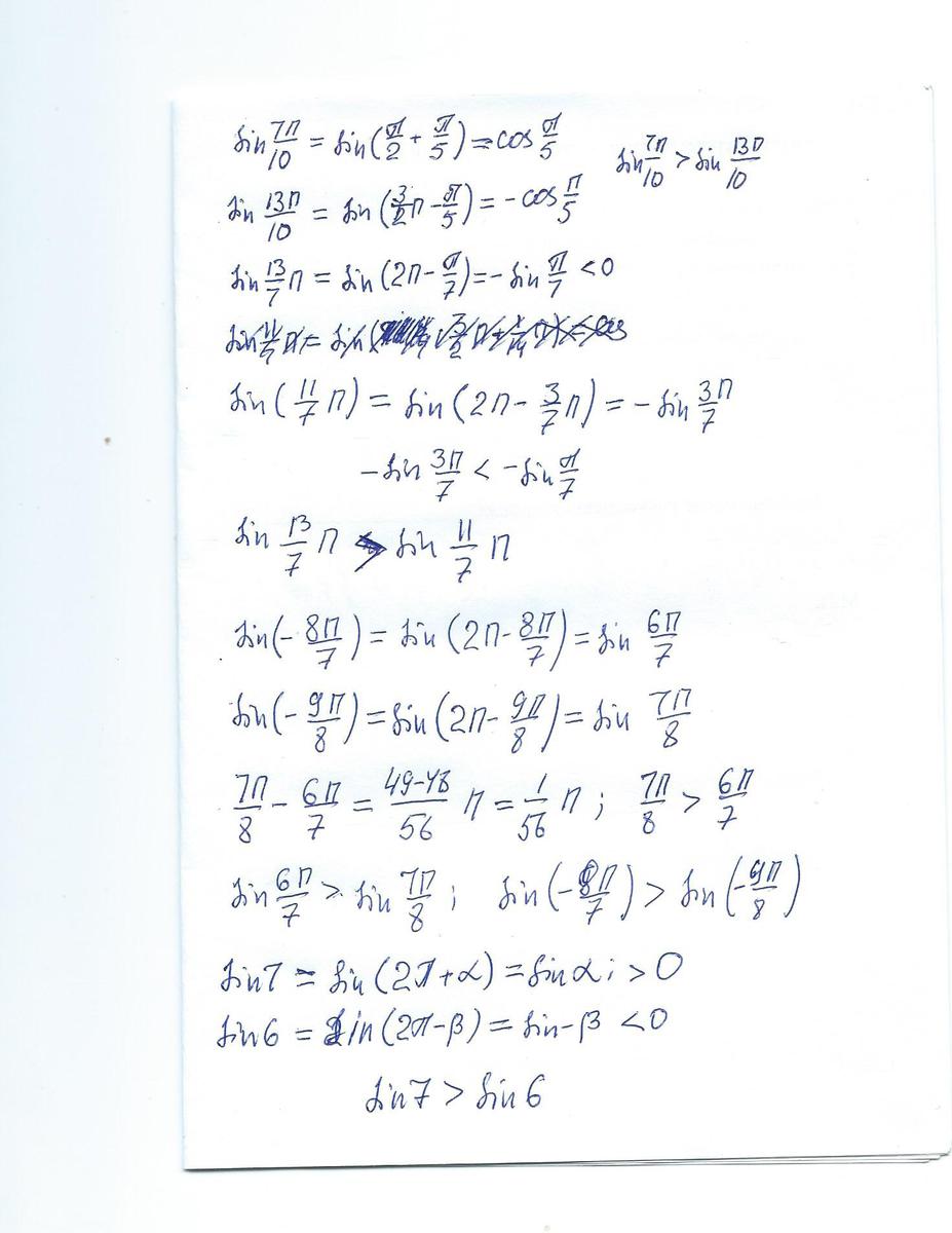
Приложения:

Ответ дал:
1
1) sin 7π/10 sin 13π/10
sin 7π/10 sin (2π - 7π/10)
sin 7π/10 sin (- 7π/10)
sin 7π/10 -sin 7π/10
поскольку sin 7π/10 >0 то число со знаком + больше , чем то же число со знаком - , то есть
sin 7π/10 > -sin 7π/10 ,
тогда и
sin 7π/10 > sin 13π/10
2) sin 13π/7 sin 11π/7
sin (2π - π/7) sin (2π - 3π/7)
sin (-π/7) sin (-3π/7)
-sin (π/7) - sin(3π/7)
Поскольку в 1-й четверти синус возрастает, то sin π/7 < sin 3π/7, то
при умножении на (-1) неравенство изменит знак
-sin π/7 > -sin 3π/7
тогда и
sin 13π/7 > sin 11π/7
3) sin (-8π/7) sin(-9π/7)
-sin (8π/7) -sin( 9π/7)
-sin (π+ π/7) -sin (π+2π/7)
- (-sin π/7) -(-sin 2π/7)
sin π/7 sin 2π/7
Поскольку в 1-й четверти синус возрастает, то sin π/7 < sin 2π/7
тогда и
sin (-8π/7) < sin(-9π/7)
4) sin 7 sin 6
7 > 2π= 6.28 - угол в 1-й четверти, sin имеет знак +
π <6 < 2π - угол в 4-й четверти, sin имеет знак -, поэтому
sin 7 > sin 6
sin 7π/10 sin (2π - 7π/10)
sin 7π/10 sin (- 7π/10)
sin 7π/10 -sin 7π/10
поскольку sin 7π/10 >0 то число со знаком + больше , чем то же число со знаком - , то есть
sin 7π/10 > -sin 7π/10 ,
тогда и
sin 7π/10 > sin 13π/10
2) sin 13π/7 sin 11π/7
sin (2π - π/7) sin (2π - 3π/7)
sin (-π/7) sin (-3π/7)
-sin (π/7) - sin(3π/7)
Поскольку в 1-й четверти синус возрастает, то sin π/7 < sin 3π/7, то
при умножении на (-1) неравенство изменит знак
-sin π/7 > -sin 3π/7
тогда и
sin 13π/7 > sin 11π/7
3) sin (-8π/7) sin(-9π/7)
-sin (8π/7) -sin( 9π/7)
-sin (π+ π/7) -sin (π+2π/7)
- (-sin π/7) -(-sin 2π/7)
sin π/7 sin 2π/7
Поскольку в 1-й четверти синус возрастает, то sin π/7 < sin 2π/7
тогда и
sin (-8π/7) < sin(-9π/7)
4) sin 7 sin 6
7 > 2π= 6.28 - угол в 1-й четверти, sin имеет знак +
π <6 < 2π - угол в 4-й четверти, sin имеет знак -, поэтому
sin 7 > sin 6
Вас заинтересует
2 года назад
2 года назад
2 года назад
2 года назад
7 лет назад
9 лет назад