• Предмет: Алгебра
  • Автор: OlyaLinkoln
  • Вопрос задан 3 года назад

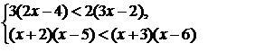
Докажите, что система неравенств не имеет решений)

Приложения:

Ответы

Ответ дал: dominowood
6
что-то вроде этого, но я не уверена 
Приложения:
Вас заинтересует