Ответы
Ответ дал:
1
Ответ это :
значение
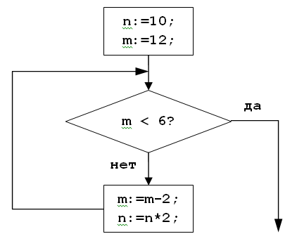
n = 160
значение
n = 160
Вас заинтересует
2 года назад
2 года назад
2 года назад
2 года назад
7 лет назад
7 лет назад
9 лет назад
9 лет назад