• Предмет: Алгебра
  • Автор: maleficenta777
  • Вопрос задан 2 года назад

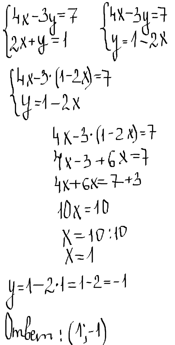
помогите решить систему
4х-3у=7
2х+у=1

Ответы

Ответ дал: SunnyStorm
3
Решение в файлике.

Darknight (Sunny Storm)
Приложения:

maleficenta777: Спасибо
SunnyStorm: Пожалуйста =)
Вас заинтересует