• Предмет: Алгебра
  • Автор: lerar99
  • Вопрос задан 3 года назад

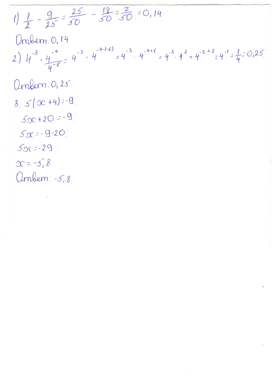
помогите пожалуйста решить,а то я эти примеры совсем не понимаю ; 1)1/2-9/25 ; 2)4^-3 * 4^-4 / 4^-6 ; 3)5(х+4)=-9

Ответы

Ответ дал: Lill1998
1
Решила, посмотри!))))
Приложения:

lerar99: спасибо огромное)
Lill1998: ага:)рада,что смогла помочь:)
Вас заинтересует