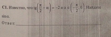
• Предмет: Алгебра
  • Автор: JIисана
  • Вопрос задан 3 года назад

Люди добрые, помогите, пожалуйста)

Приложения:

Ответы

Ответ дал: Аноним
1
tg( \frac{\pi}{2} - \alpha )=ctg \alpha =-2

Котангенс - отношение прилежащего катета к противолежащему катету
2 - прилежащий катет
1- противолежащий катет
 \sqrt{2^2+1^1} = \sqrt{5} - гипотенуза

Синус - отношение противолежащего катета к гиоптенузе
\sin  \alpha = -\frac{1}{\sqrt{5}}
Ответ дал: IUV
1
tg(pi/2-a)=сtg(a)=-2
tg(a)=-1/2
sin^2=tg^2/(1+tg^2)=(1/2)^2/(1+(1/2)^2)=1/5
|sin(a)| = 1/корень(5)
так как -pi/2 < a < 0 (четвертая координатная четверть, синус отрицательный)
sin(a) = - 1/корень(5)




JIисана: почему ответ разный получается?
IUV: потому что я неправильно прочитал условие
IUV: уже исправил
Вас заинтересует