• Предмет: Математика
  • Автор: Koverzina2016
  • Вопрос задан 3 года назад

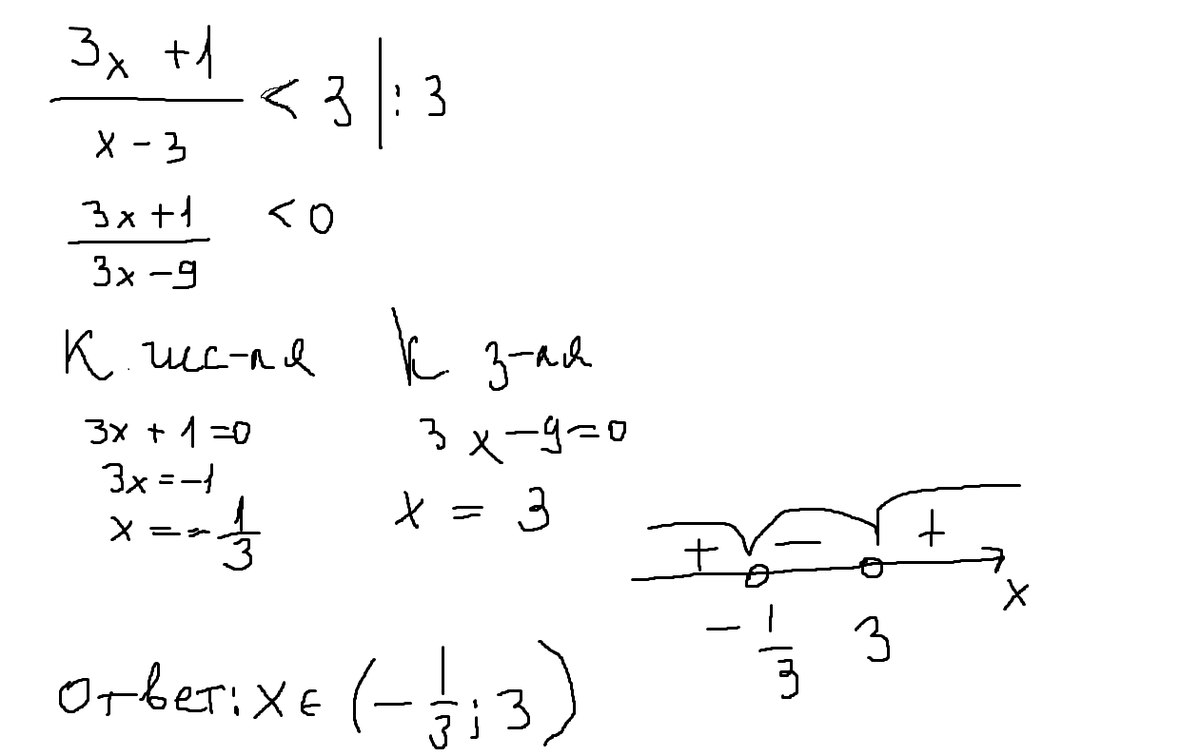
3x+1/(это дробь / )x-3<3 помогите решить

Ответы

Ответ дал: dunina1
1
находим корни числителя и корни знаменателя..точки светлые
Приложения:
Вас заинтересует