Ответы
Ответ дал:
0
Фотография...........................
Приложения:

Rickko:
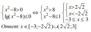
а почему x^2-8<(меньше либо равно) 1?? откуда 1?
где lg(0)=1
x=±2корня из 2
Вас заинтересует
2 года назад
2 года назад
2 года назад
2 года назад
7 лет назад
7 лет назад
9 лет назад