• Предмет: Алгебра
  • Автор: 1223444
  • Вопрос задан 2 года назад

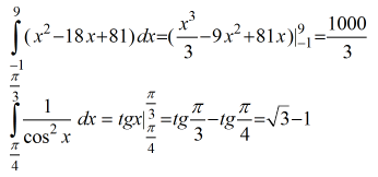
Помогите пожалуйста
Решить определенные интегралы

Приложения:

Ответы

Ответ дал: Аноним
1
Фотография....................
Приложения:
Вас заинтересует