4,31-х=5,18
х+3,4=2,6
х-2,7=-5,3
5х+3=3х-5
4х+5=6х-7
14+5х=4х+3х
3,6+2х=5х+1,2
0,4х+0,3х-0,84х=1,12
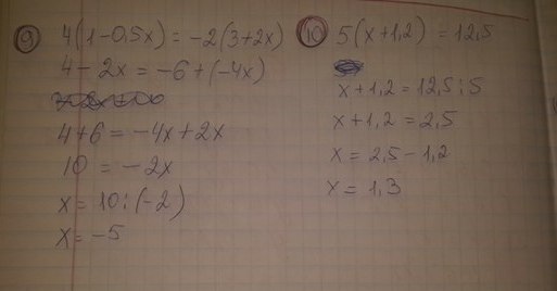
4(1-0,5х)=-2(3+2х)
5(х+1,2)=12,5
Ответы
Ответ дал:
1
Решения в прикрепленном фаиле
Приложения:


Вас заинтересует
2 года назад
2 года назад
2 года назад
2 года назад
7 лет назад
7 лет назад
9 лет назад