• Предмет: Математика
  • Автор: 5274048v
  • Вопрос задан 3 года назад

Решите плиз
методом подстановки
желательно со всем решением
буду благодарен

Приложения:

Ответы

Ответ дал: mikael2
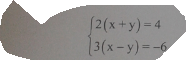
1
2(х+у)=4
3(х-у)=-6

х+у=4/2=2  ⇒у=2-х
х-у=-6/3=-2   подставим
х-(2-х)=-2         х-2+х=-2     2х=0       х=0     у=2-х=2-0=2

ответ  х=0, у=2

5274048v: да помог
5274048v: сппсибо
Вас заинтересует