• Предмет: Алгебра
  • Автор: faring85
  • Вопрос задан 11 лет назад

найти значение производной функции y=f(x) в точке x0 если f(x)=2-(1/кореньx) x0=1четвёртая

Ответы

Ответ дал: kerosin96
0

f'(x)=-1*x^-2

f'(x0)=-1*1^-2=-1

 

 

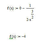
Ответ дал: Fass
0

Там типо f ` (x), а вместо = стоит :=

Приложения:
Вас заинтересует