• Предмет: Алгебра
  • Автор: coteika555
  • Вопрос задан 11 лет назад

ПОМОГИТЕ РЕШИТЬ!!!!! 

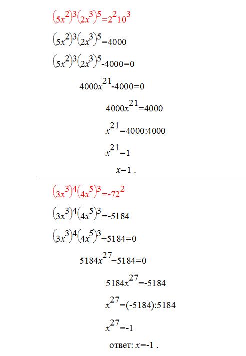
А) (5х^2)^3*(2x^3)^5=2^2*10^3

Б) (9x^4)^2*(0.5x^2)^8=(3/4)^4

В)3x^3)^4*(4x^5)^3= -72^2

ЗАРАНЕЕ СПАСИБО!

Ответы

Ответ дал: triolana
0

===========================================

Приложения:
Вас заинтересует