• Предмет: Алгебра
  • Автор: rus19
  • Вопрос задан 11 лет назад

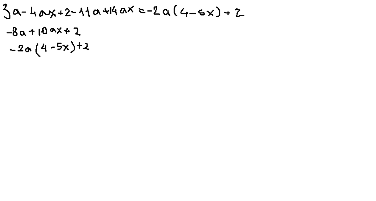
(3а-4ах+2)-(11а-14ах)=

 

Ответы

Ответ дал: Boris77777
0

.............................

Приложения:
Вас заинтересует