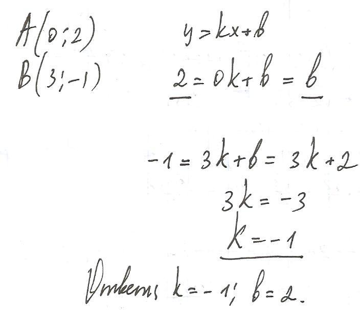
Прямая у = Кх + b проходитчерез точки А и В.Найдите числа К и b и запишите уравнение этой прямой,если А(0;2), В(3; - 1)
Ответы
Ответ дал:
0
надеюсь будет понятно...
Приложения:

Вас заинтересует
2 года назад
2 года назад
8 лет назад
10 лет назад
10 лет назад
10 лет назад