Ответы
Ответ дал:
1
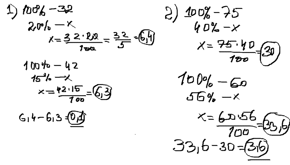
20% от 32 больше на 0,1 ,чем 15% от 42.
40% от 75 меньше на 3,6,чем 56% от 60.
Решение на фото во вложении.
40% от 75 меньше на 3,6,чем 56% от 60.
Решение на фото во вложении.
Приложения:
Ответ дал:
0
1) 20% от 32 = 6,4
15% от 42 = 6,3
6,4 > 6,3
6,4-6,3=0,1
20% от 32 больше,чем 15% от 42 на 0,1
2) 40% от 75 = 30
56% от 60 = 33,6
30 < 33,6
33,6-30=3,6
40% от 75 меньше,чем 56% от 60 на 3,6
15% от 42 = 6,3
6,4 > 6,3
6,4-6,3=0,1
20% от 32 больше,чем 15% от 42 на 0,1
2) 40% от 75 = 30
56% от 60 = 33,6
30 < 33,6
33,6-30=3,6
40% от 75 меньше,чем 56% от 60 на 3,6
Вас заинтересует
2 года назад
2 года назад
7 лет назад
7 лет назад
9 лет назад