Ответы
Ответ дал:
0
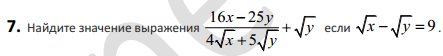
Числитель раскладываем, как разность квадратов.
(16x - 25y) / (4√x + 5√y) + √y = (4√x - 5√y)(4√x + 5√y) / (4√x + 5√y) + √y =
= 4√x - 5√y + √y = 4√x - 4√y = 4(√x - √y) = 4*9 = 36
(16x - 25y) / (4√x + 5√y) + √y = (4√x - 5√y)(4√x + 5√y) / (4√x + 5√y) + √y =
= 4√x - 5√y + √y = 4√x - 4√y = 4(√x - √y) = 4*9 = 36
Вас заинтересует
2 года назад
2 года назад
2 года назад
7 лет назад
7 лет назад