• Предмет: Геометрия
  • Автор: tanyshastepanova
  • Вопрос задан 3 года назад

ПОЛНОСТЬЮ С РЕШЕНИЕМ ПОЖАЛУЙСТА
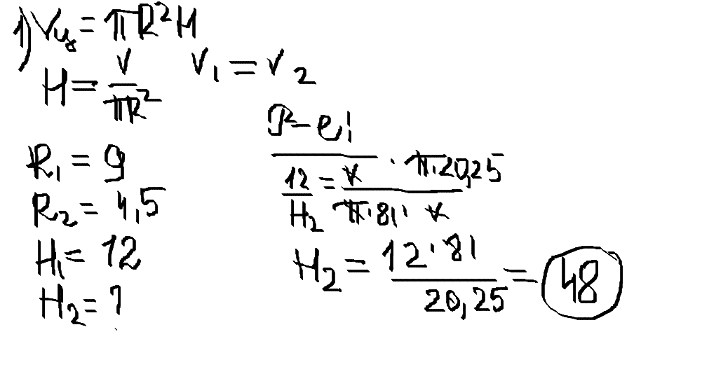
1)цилиндр высотой 12 радиусом основания 9 наполнили доверху водой.на каком уровне будет находиться вода в другом цилиндре с радиусом основания в 2 раза меньше радиуса первого цилиндра
2)в треугольнике авс угол с равен 90 градусов синус в равен 7/25.найдите ас

Ответы

Ответ дал: martiemiliya
5
Решение во вложении на фото(только 1 задача).
Приложения:
Вас заинтересует