• Предмет: Алгебра
  • Автор: Silverstone
  • Вопрос задан 2 года назад

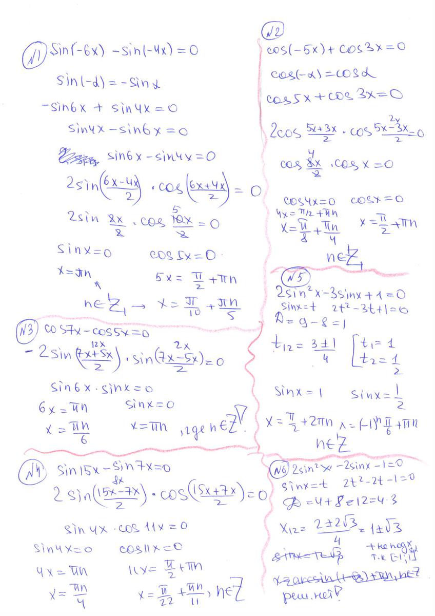
Решить уравнения
Sin(-6x)-sin(-4x)=0
COs(-5x)+cos3x=0
Cos7x-cos5x=0
Sin15x-sin7x=0

2sin^2x-3sinx+1=0
2sin^2x-2sinx-1=0

Просьба с решением !

Ответы

Ответ дал: svetlana3112
71
Прикрепила решение) Желаю удачи! Если будут вопросы - обращайся,буду рада помочь.
Приложения:

Silverstone: Спасибо !
svetlana3112: что тебе не понравилось?( почему 4 звезды?
Silverstone: Промахнулся кнопкой ) Быстро поставил )
Silverstone: ПРостите уж )
svetlana3112: я ничего не говорю( просто погрустила( я же вроде бы даже скрин сделала, расписывала детально, а не в 2 действия) ну и ладно
Вас заинтересует