Ответы
Ответ дал:
3
cos^2x + sin^2x = 1
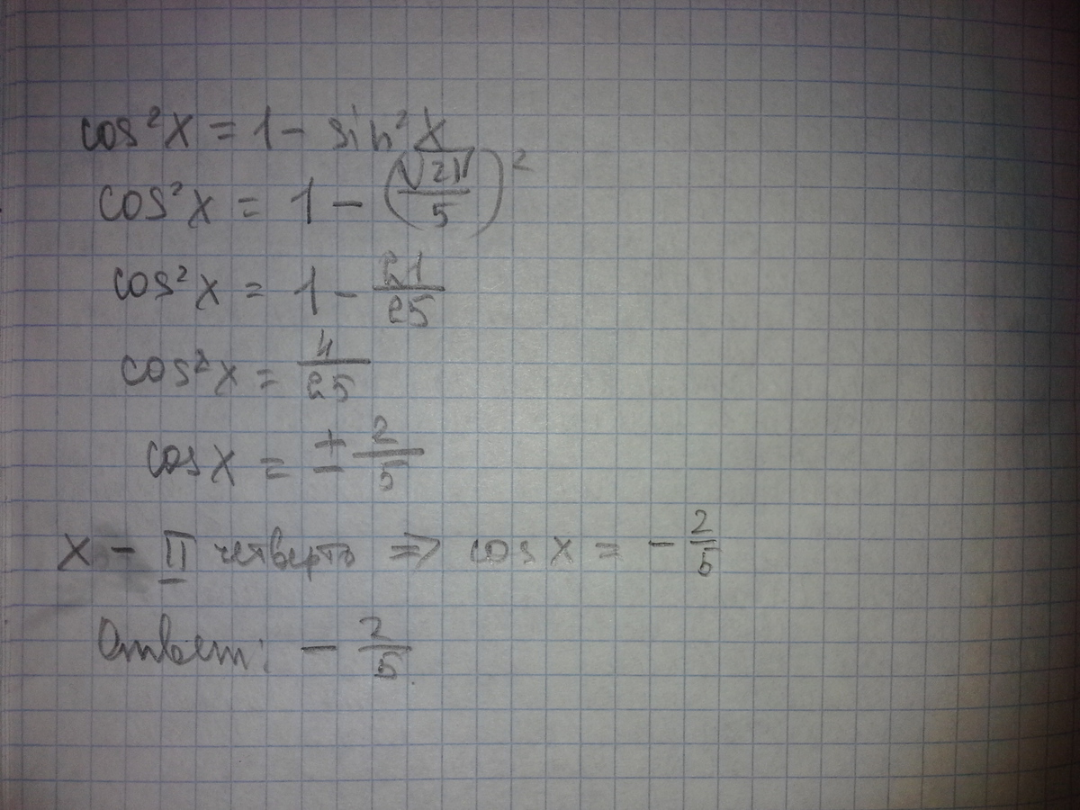
cos^2x = 1-sin^2x
cos^2x = 1-21/25
cos^2x = 4/25
cosx = -2/5, т.к. при x∈(π/2;π), косинус <0
cos^2x = 1-sin^2x
cos^2x = 1-21/25
cos^2x = 4/25
cosx = -2/5, т.к. при x∈(π/2;π), косинус <0
Ответ дал:
1
Вот так. Через одну из тригонометрических формул
Приложения:
Вас заинтересует
2 года назад
2 года назад
2 года назад
2 года назад
7 лет назад