Ответы
Ответ дал:
0
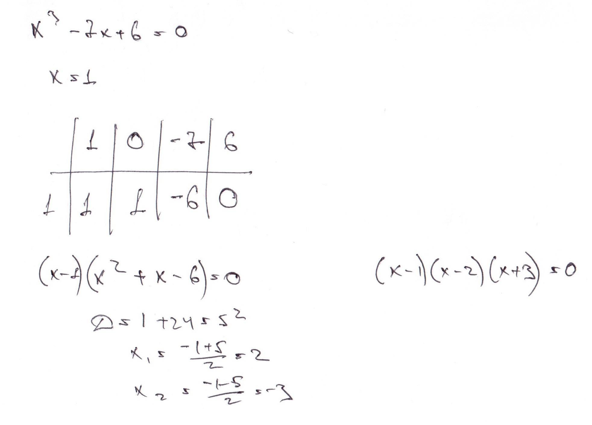
Методом побора подбираем корень. И по схеме Горнера раскладываем на множители.
Приложения:

Вас заинтересует
2 года назад
2 года назад
8 лет назад
8 лет назад
10 лет назад
10 лет назад
10 лет назад